Precipitation analysis

Regional frequency analysis of extreme rainfall in Belgium based on radar estimates

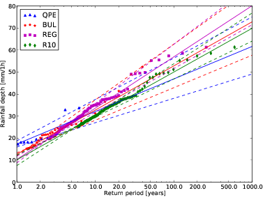
In Belgium, only rain gauge time series have been used so far to study extreme rainfall at a given location. In this paper, the potential of a 12-year quantitative precipitation estimation (QPE) from a single weather radar is evaluated. For the period 2005–2016, 1 and 24 h rainfall extremes from automatic rain gauges and collocated radar estimates are compared. The peak intensities are fitted to the exponential distribution using regression in Q-Q plots with a threshold rank which minimises the mean squared error. A basic radar product used as reference exhibits unrealistic high extremes and is not suitable for extreme value analysis. For 24 h rainfall extremes, which occur partly in winter, the radar-based QPE needs a bias correction. A few missing events are caused by the wind drift associated with convective cells and strong radar signal attenuation. Differences between radar and gauge rainfall values are caused by spatial and temporal sampling, gauge underestimations and radar errors. Nonetheless the fit to the QPE data is within the confidence interval of the gauge fit, which remains large due to the short study period. A regional frequency analysis for 1 h duration is performed at the locations of four gauges with 1965–2008 records using the spatially independent QPE data in a circle of 20 km. The confidence interval of the radar fit, which is small due to the sample size, contains the gauge fit for the two closest stations from the radar. In Brussels, the radar extremes are significantly higher than the gauge rainfall extremes, but similar to those observed by an automatic gauge during the same period. The extreme statistics exhibit slight variations related to topography. The radar-based extreme value analysis can be extended to other durations.

Return levels for 1 hour duration at station Gosselies from gauge data (red stars) compared to the at-site QPE (blue triangle), regional analysis (purple square) and regional analysis assuming independence after 10km (green diamond) radar data. The extreme value distribution (solid line) fitted to the extremes and its confidence intervals (dashed line) are also displayed.

Statistical Characteristics of Convective Storms in Belgium Derived from Volumetric Weather Radar Observations

High-resolution volumetric reflectivity measurements from a C-band weather radar are used to study the characteristics of convective storms in Belgium. After clutter filtering, the data are processed by the storm-tracking system Thunderstorm Identification, Tracking, Analysis, and Nowcasting (TITAN) using a 40-dBZ reflectivity threshold. The 10-yr period of 5-min data includes more than 1 million identified storms, mostly organized in clusters. A storm is observed at a given point 6 h yr−1 on average. Regions of slightly higher probability are generally correlated with orographic variations. The probability of at least one storm in the study area is 15%, with a maximum of 35% for July and August. The number of storms, their coverage, and their water mass are limited most of the time. The probability to observe a high number of storms reaches a maximum in June and in the early afternoon in phase with solar heating. The probability of large storm coverage and large water mass is highest in July and in the late afternoon. Convective storms are mostly small and weak. Deeper ones are found mainly in the afternoon whereas bigger and more intense ones also appear in the evening. The occurrence of the most intense storms does not vary along the day. Simple tracks have a mean duration of 25 min. Complex tracks, involving splitting or merging, last 70 min on average. Most convective storms move in the northeast direction, with a median speed of 30 km h−1. Their motion is slower in summer and in the afternoon. Regions with slightly higher convective initiation are related to orography.

A 2D visualization of (maximum) interpolated radar reflectivity data and tracking of a convective storm by TITAN.

Cookies saved